The Structure Of A Conserved Domain Of Tamb Reveals A Hydrophobic B Taco Fold Sciencedirect
Xp{v 'SÅÒ¬ tacp
Xp{v 'SÅÒ¬ tacp-



Dvids News Usaf Tacp Airmen Compete In Lightning Challenge



Emergency Alerts Amber Alert A A Eo A Ykeiu Eri 3ys Lp P S D Bp Symkeaaesggcnaakeiua Kn Cya Kicne Kicne Boetsdfdawileesedl Klr Afu Settings Sure Glad They Sent This Both Informative And Important Amber Alert Amber Alert Meme On Me Me



Special Warfare Training Wing About Us Tactical Air Control Party



Pubs Acs Org



United States Air Force Tactical Air Control Party Wikipedia



Composition And Stage Dynamics Of Mitochondrial Complexes In Plasmodium Falciparum Nature Communications



Frontiers Oral Neutrophils Underestimated Players In Oral Cancer Immunology



Special Operations Forces Tacp Youtube



Bacterial Strains And Plasmids Download Table



Tactical Air Control Party Tacp Officer U S Air Force Rotc



Dynamics Of An Lps Translocon Induced By Substrate And An Antimicrobial Peptide Nature Chemical Biology



A Day In The Life Tactical Air Control Party Wives Of The Air Force



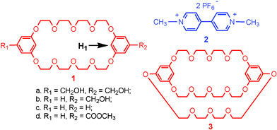
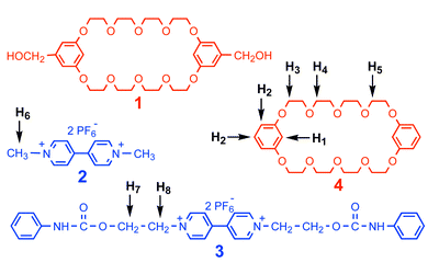
2



K E A Nu Re E Ves X Asco John Wick S Theorem Don T Set H Im Of F Sumait Entertainmen Esns Under Aoad Pictures Resets Masicatontheleven Producnions Aid Mjwflmis Wasicatinth Deiite



Periodic Trends Revealed By Photoelectron Studies Of Transition Metal And Lanthanide Compounds Springerlink



Calculus Part 2 Early Transcendentals 8th Edition 15 Pages 501 1000 Flip Ebook Pages 1 250 Anyflip Anyflip



Air Force Tactical Air Control Party Tacp 21 Career Details



A New To Nature Carboxylation Module To Improve Natural And Synthetic Co2 Fixation Nature Catalysis



Rubio S Innlegg Facebook



American Liquid Metal Tactical Air Control Party Tacp Sign



Do You Have What It Takes To Be Tacp Military Com



Newcontent Westmarine Com



Thickness Of Tan Based Thin Films Grown By The Tacp N T Bu Net 2 Download Scientific Diagram



Chemical Behaviour Of Alkyl Imido Cyclopentadienyl Niobium And Tantalum V Complexes In Insertion Processes X Ray Crystal Structures Of Mcpcl Nar H2 C Me Nar Ar 2 6 Me2c6h3 M Nb Cp H5 C5h4sime3 M Ta Cp H5 C5me5 And Ta H5 C5me5 Me Nar H2



U S Air Force Tactical Air Control Party Tacp Joint Terminal Attack Controllers Jtacs Conduct Close Air Suppo Usaf Military Forces United States Military



Amazon Com Ortega Taco Seasoning Mix Hot Spicy 1 25 Ounce Pack Of 12 Grocery Gourmet Food



The Crestian This Is Who We Are By Pine Crest School Issuu



Cryo Em Structures Of The Archaeal Pan Proteasome Reveal An Around The Ring Atpase Cycle Pnas



Catalysts Free Full Text Synthesis And Characterization Of Cationic Tetramethyl Tantalum V Complex Html



Pin On Propic X Taco



Design And Discovery Of A Novel Half Heusler Transparent Hole Conductor Made Of All Metallic Heavy Elements Nature Communications



Special Tactics Tacp Jtac Explained What Is A Tactical Air Control Party Youtube



Su4j16otkrrwgm



2



Pnas Org



The Growth Rate Of Tan Based Thin Films Grown By The Tacp N T Download Scientific Diagram



2



Does The Air Force Tacp See The Combat What Do They Do Quora



3



Ijms Free Full Text Proteomic Characterization Of Urinary Extracellular Vesicles From Kidney Transplanted Patients Treated With Calcineurin Inhibitors Html



Molecules Free Full Text Construction Of Supramolecular Polymers With Different Topologies By Orthogonal Self Assembly Of Cryptand Paraquat Recognition And Metal Coordination Html



2



U S Air Force The Best Of The Best Tactical Air Control Party Tacp Airmen Participate In The Lightning Challenge At Fort Hood Texas Tacp Specialists Participated In Challenge To



A New To Nature Carboxylation Module To Improve Natural And Synthetic Co2 Fixation Nature Catalysis



U S Air Force Tactical Air Control Party Below Zero Training Special Forces Magazine



Ample Strike 18 Mst Magazine Mst 6 18



Page 5 Hci High Resolution Stock Photography And Images Alamy



Catalysts Free Full Text Synthesis And Characterization Of Cationic Tetramethyl Tantalum V Complex Html



Special Warfare Training Wing About Us Tactical Air Control Party



Dvids News Usaf Tacp Airmen Compete In Lightning Challenge



Tactical Air Control Parties Tacp Usaf Special Operations



Synthesis Of Hydride Tantalabenzocyclopentene And µ Alkylidene Complexes By Direct Alkylation Reactions Of Tacp Cp Cl2 Nmr Spectroscopic Study And X Ray Crystal Structure Of Tacp Cp H H2 Ch2 Cme2 O C6h4 Cp H5 C5me5 Cp H5 C5h4sime3



The Growth Rate Of Tan Based Thin Films Grown By The Tacp N T Download Scientific Diagram



Archaeal Proteasomes And Sampylation Abstract Europe Pmc



1



Preparation And Oxidation Behavior Of Cf C Tac Composites Sciencedirect



Metal Rich Metallaboranes Clusters Containing Triply And Tetra Bridging Borylene And Boride Units Sciencedirect



A New To Nature Carboxylation Module To Improve Natural And Synthetic Co2 Fixation Nature Catalysis



What S Your Why A Tacp Perspective Youtube



Military Motivator Tacp Blackfive



First Supramolecular Poly Taco Complex Chemical Communications Rsc Publishing



Stm And Sts Studies On The Density Of States Modulation Of Pr



Frontiers Versatility Of The Bid Domain Conserved Function As Type Iv Secretion Signal And Secondarily Evolved Effector Functions Within Bartonella Infected Host Cells Microbiology



Alkyl Chloro Dialkyl And Mixed Alkyl Derivatives Of Imido Pentamethylcyclopentadienyl Tantalum V X Ray Crystal Structure Of Tacp Cp Cl N 2 6 Me2c6h3 Cp H5 C5h4sime3 Sciencedirect



Engineering Oxygen Independent Biotin Biosynthesis In Saccharomyces Cerevisiae Sciencedirect



A Tat High Resolution Stock Photography And Images Alamy



U S Air Force Career Detail Tactical Air Control Party Specialist Tacp



Dvids News Usaf Tacp Airmen Compete In Lightning Challenge



The Structure Of A Conserved Domain Of Tamb Reveals A Hydrophobic B Taco Fold Sciencedirect



Chaperones Of F1 Atpase Journal Of Biological Chemistry



Page 5 Hci High Resolution Stock Photography And Images Alamy



Page 10 Cd Ro High Resolution Stock Photography And Images Alamy



Tactical Air Control Party Tacp Calls In A 10 F 16 For Close Air Support Youtube



The Equation Of State Of Tac0 99 By X Ray Diffraction In Radial Scattering Geometry To 32 Gpa And 1073 K Journal Of Applied Physics Vol 126 No 10



Page 10 E G Icon High Resolution Stock Photography And Images Alamy



Tacp



A Molecular Basis For Agonist And Antagonist Actions At Gabac Receptors Abdel Halim 08 Chemical Biology Amp Drug Design Wiley Online Library



Air Force Tactical Air Control Party Tacp



Tacp Uk Ltd Tacp Uk Twitter



Development Of A Time Resolved Fluorescence Probe For Evaluation Of Competitive Binding To The Cholecystokinin 2 Receptor Abstract Europe Pmc



Alkyl And Alkyl Alkylidene Pentamethylcyclopentadienyl Tantalum Complexes Galakhov 06 European Journal Of Inorganic Chemistry Wiley Online Library



Highly Functionalised G Azido G Fluoro B Iodo Vinyl Derivatives From Phosphorus Based Allenes Or Allenoates I O Halogen Bonding Interactions Organic Biomolecular Chemistry Rsc Publishing Doi 10 1039 C9obf



1z3x1 Tactical Air Control Party Tacp Afsc Forever Wingman



Special Warfare Training Wing About Us Tactical Air Control Party



File Taco With Refried Beans Textured Vegetable Protein Salsa Guacamole And Cheese Massachusetts Jpg Wikimedia Commons



Tactical Air Control Party Wikipedia



Frontiers Genetic Variation In Low To Medium Affinity Fcg Receptors Functional Consequences Disease Associations And Opportunities For Personalized Medicine Immunology



United States Air Force Tactical Air Control Party Military Wiki Fandom



Interplay Between Decarburization Oxide Segregation And Densification During Sintering Of Nanocrystalline Tac And Nbc Sciencedirect



The Sh3 Like Domain Switches Its Interaction Partners To Modulate The Repression Activity Of Mycobacterial Iron Dependent Transcription Regulator In Response To Metal Ion Fluctuations Journal Of Biological Chemistry



Promotion Of Host Folding During The Formation Of A Taco Complex Chemical Communications Rsc Publishing



Measured Y X Sc Y O 3 Film Growth Rates And The Theoretical Growth Download Scientific Diagram



Cdn Gatehousemedia Com



Structures Of Immature Eiav Gag Lattices Reveal A Conserved Role For Ip6 In Lentivirus Assembly



Capt Charles Polley And Smsgt Christopher Mann Tactical Air Control Party Tacp Youtube



Oriented External Electric Fields As Mimics For Probing The Role Of Metal Ions And Ligands In The Thermal Gas Phase Activation Of Methane Dalton Transactions Rsc Publishing



Synthesis Of Hydride Tantalabenzocyclopentene And µ Alkylidene Complexes By Direct Alkylation Reactions Of Tacp Cp Cl2 Nmr Spectroscopic Study And X Ray Crystal Structure Of Tacp Cp H H2 Ch2 Cme2 O C6h4 Cp H5 C5me5 Cp H5 C5h4sime3



Catalysts Free Full Text Synthesis And Characterization Of Cationic Tetramethyl Tantalum V Complex Html



The Mycobacterium Tuberculosis Cytochromes P450 Physiology Biochemistry Molecular Intervention Future Medicinal Chemistry



Synthesis Of Hydride Tantalabenzocyclopentene And µ Alkylidene Complexes By Direct Alkylation Reactions Of Tacp Cp Cl2 Nmr Spectroscopic Study And X Ray Crystal Structure Of Tacp Cp H H2 Ch2 Cme2 O C6h4 Cp H5 C5me5 Cp H5 C5h4sime3



Toxins Free Full Text The Versatility Of The Helicobacter Pylori Vacuolating Cytotoxin Vaca In Signal Transduction And Molecular Crosstalk Html



Rex Parker Does The Nyt Crossword Puzzle Cured Salmon Sun 11 26 17 Jazzy Anita 1970s 90s Chess Champion Figure Skater Sonja Ammoniac Carne Taco Option Principal Deities



Warrenville Il Us



Afsoc Tacp



1


0 件のコメント:
コメントを投稿